编者按:自去年美国心脏病学会(ACC)年会首次公布SOUL研究完整结果,并同步发表于《新英格兰医学杂志》[1]以来,作为全球首项口服胰高糖素样肽-1受体激动剂(GLP-1RA)司美格鲁肽片的心血管结局研究(CVOT),该研究后续开展的多项事后分析及亚组分析不断为学界带来新的思考。在近期举行的2026年ACC年会(ACC.26)上,SOUL研究又有两项最新成果发布:
一项事后分析[2]深入探讨了口服司美格鲁肽对首次及总体主要心血管不良事件(MACE)的影响,为进一步揭示其在减轻心血管事件总体负担方面的潜在价值提供了新的证据;
另一项研究[3]则基于美国真实世界人群数据,评估了SOUL研究结论在人群层面的公共卫生意义,初步勾勒出该药物作为心血管代谢干预策略的广阔应用前景。
本文将对这两项研究进行梳理,以期为读者呈现SOUL研究的最新进展。
SOUL研究事后分析:口服司美格鲁肽显著降低首次及总体MACE风险
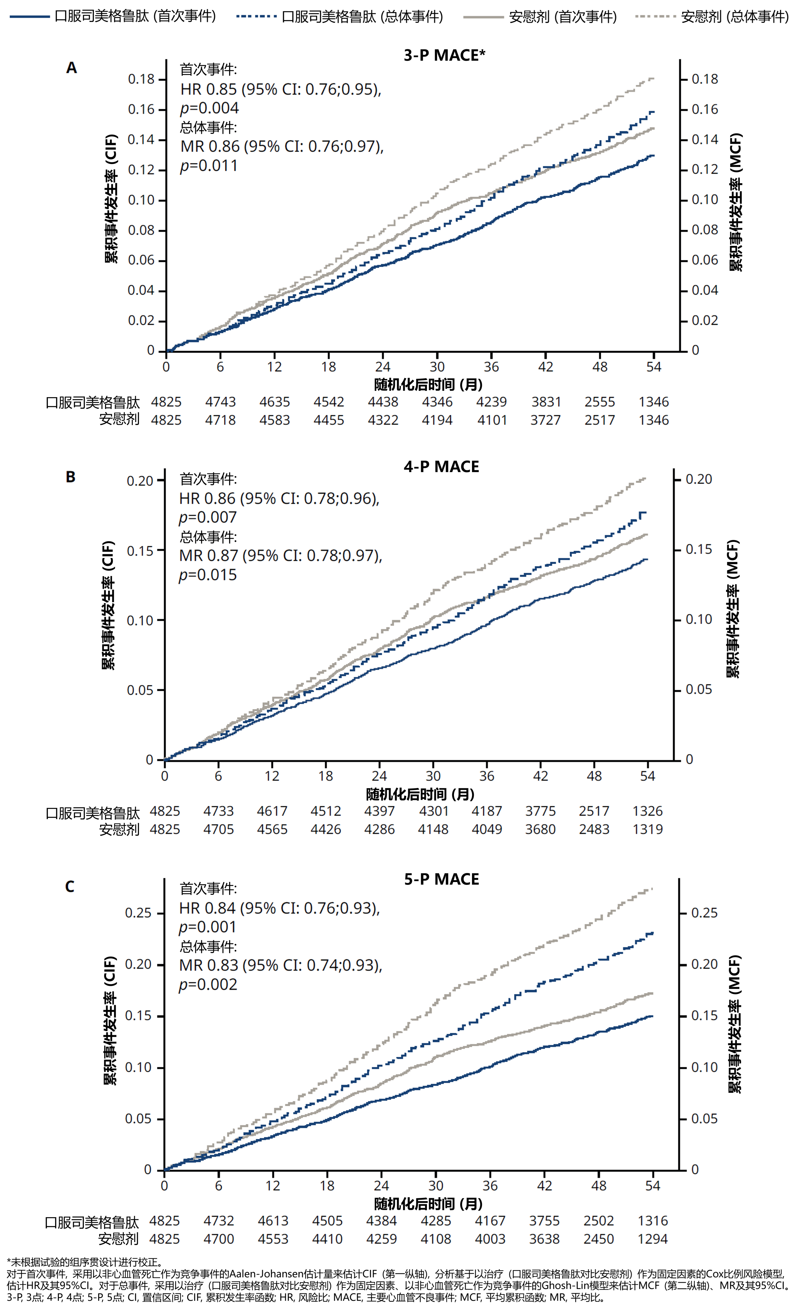
SOUL研究主要结果已证实,在9650例2型糖尿病(T2DM)合并动脉粥样硬化性心血管疾病(ASCVD)和/或慢性肾脏病(CKD)患者中,平均随访47.5个月后,与安慰剂相比,口服司美格鲁肽显著降低3点MACE(3-P MACE,包括非致死性心肌梗死、非致死性卒中或心血管死亡)风险达14%(HR 0.86,P=0.006)。由于个体在首次非致死性事件后发生后续心血管事件的风险较高,对总体事件(同时评估首次及后续事件)进行分析将有助于更全面地理解干预措施对疾病总体负担的影响。
基于此,研究者对SOUL研究进行了预设次要分析[2]。该分析采用原因别Cox比例风险模型和Ghosh-Lin模型,将非心血管死亡作为竞争风险,评估口服司美格鲁肽相较于安慰剂对首次及总体3-P MACE、4-P MACE(3-P MACE+因不稳定型心绞痛住院)及5-P MACE(4-P MACE+急性冠状动脉综合征血运重建)的影响。同时,研究评估了首次及第二次(后续)事件的发生数量,并对首次非致死性心肌梗死或非致死性卒中后最常见的后续3-P MACE或非心血管死亡事件进行了描述性分析。
分析结果显示:
与未发生事件的受试者相比,经历至少一次3-P MACE的受试者年龄更大、糖尿病病程更长、糖化血红蛋白(HbA1c)及高敏C反应蛋白(hsCRP)水平更高,且既往有心肌梗死或卒中病史的比例更高。
SOUL研究期间共记录了1474例3-P MACE、1645例4-P MACE和2202例5-P MACE,其中后续事件分别占各类型MACE总数的15.4%、17.0%和34.3%。
与安慰剂相比,口服司美格鲁肽显著降低了首次及总体3-P、4-P和5-P MACE的风险。其中,首次事件风险分别下降15%(HR 0.85,P=0.004)、14%(HR 0.86,P=0.007)和16%(HR 0.84,P=0.001);总体事件风险的均值比(MR)分别为0.86(P=0.011)、0.87(P=0.015)和0.83(P=0.002)(图1)。
表1. 首次和第二次MACE的发生情况

图2. 按治疗组分组的首次、后续及总体3-P MACE加非心血管死亡事件

图3. 首次非致死性心肌梗死或非致死性卒中后的后续3-P MACE或非心血管死亡事件
综上,与安慰剂相比,口服司美格鲁肽显著降低了首次及总体3-P、4-P和5-P MACE风险。在考虑非心血管死亡时,口服司美格鲁肽组的首次及总体3-P MACE与非心血管死亡事件也显著减少。这些数据进一步补充了司美格鲁肽在降低心血管结局事件方面的既有证据,提示该药在减轻高危人群心血管疾病(CVD)患病率与死亡率的总体负担方面具有明确获益。研究结果为临床医生提供了重要信息,使其确信患者在心肌梗死或卒中后应继续使用口服司美格鲁肽治疗,因为该疗法可能有助于减少后续致死性或非致死性心血管事件的发生。
人群层面预测:
符合治疗条件的高危T2DM患者使用口服司美格鲁肽或可避免大量MACE发生
尽管SOUL研究已证实口服司美格鲁肽能够减少伴有T2DM的高危个体发生MACE的风险,但其在美国真实世界人群中的潜在影响尚不明确。为此,本研究[3]旨在通过以下两点评估SOUL研究在真实世界中的意义:①根据SOUL研究的纳入标准,估算美国符合口服司美格鲁肽治疗条件的成人数量;②预测若在该符合条件的人群中广泛使用口服司美格鲁肽,可减少的心血管事件数量。
该研究将SOUL研究的纳入标准应用于美国国家健康与营养调查(NHANES,1988~2018年)中的成人,以估算符合口服司美格鲁肽治疗条件的人数,并预测4.5年内心血管事件的预期减少数量。符合条件的参与者需满足:年龄≥50岁,患有T2DM,HbA1c 6.5%~10.0%,且已确诊心血管或肾脏疾病(包括冠状动脉疾病、脑血管疾病、症状性外周动脉疾病,或估算肾小球滤过率<60 ml/min/1.73m2的CKD)。主要结局指标为MACE(心血管死亡、非致死性心肌梗死和非致死性卒中的复合终点)。事件发生率及风险比(HR)源自SOUL研究,并应用于加权后的NHANES数据。
结果显示:
估计约有610万美国成人符合口服司美格鲁肽的纳入标准。
在未接受治疗的情况下,预计将发生847,598例MACE事件。
若接受口服司美格鲁肽治疗,预计该人群中MACE发生数量将降至728,934例,意味着可能预防118,664例事件,相对风险降低14%,需治疗人数(NNT)为55,其中包括28,430例心血管死亡(NNT=254)、83,489例非致死性心肌梗死(NNT=78)和24,521例非致死性卒中(NNT=284)(图4)。
心血管获益在不同性别、种族/民族以及临床亚组中保持一致。
若口服司美格鲁肽治疗覆盖率达到50%,并假设有15.5%的停药率(与SOUL研究中观察到的比例一致),则预计可预防59,332例MACE、14,215例心血管死亡、41,744例非致死性心肌梗死和12,260例非致死性卒中(图5)。

图4. 基于SOUL研究,口服司美格鲁肽对NHANES(1988~2018年)中符合条件的美国成人亚组心血管结局的影响(4.5年预测)

图5. 在符合条件的美国成人中提高口服司美格鲁肽使用率后,基于NHANES(1988~2018年)周期及SOUL研究结果所预防的潜在事件数(4.5年预测)
研究结论指出,在符合条件的美国T2DM成人中广泛使用口服司美格鲁肽,可显著减少心血管事件。这些发现支持其作为一种可推广的、人群层面的心血管代谢干预措施的潜力,并强调了需要采取系统层面的策略来提升药物的可及性和治疗覆盖率。
研究人员在讨论中表示,该发现具有三个关键的公共卫生意义。第一,研究结果突显了口服司美格鲁肽在减少高危T2DM成人MACE及缩小心血管健康差异方面具有显著的人群层面获益,支持其作为一种可推广的心血管代谢干预措施的潜力。第二,口服剂型为注射用GLP-1RA提供了一种替代选择,可能提高用药依从性,并能在常规临床实践中更早启动降低心血管风险的疗法。第三,随着符合条件的患病人群不断增长以及可预防事件负担日益加重,采取系统层面的策略(如扩大医保覆盖范围、开展临床医生教育以及实施有针对性的干预措施)对于实现口服司美格鲁肽的全部临床和经济价值至关重要。本研究分析显示,随着口服司美格鲁肽治疗覆盖率的提高,其可预防的心血管事件数量呈线性增长,这反映了治疗覆盖率与人群层面获益之间的比例关系。
结语
本届ACC年会发布的关于口服司美格鲁肽的两项最新研究,从不同维度深化了我们对SOUL研究临床价值的理解。第一项事后分析突破了以往仅关注首次事件的局限,首次系统证实口服司美格鲁肽能够显著降低总体MACE负担,这一发现对于CVD这类易复发的慢病管理尤为重要,意味着患者可能在长期治疗中获得持续累积的获益。第二项人群水平的研究则跨越了临床试验的界限,将循证证据延伸至公共卫生领域,量化了口服司美格鲁肽在真实世界中的潜在干预价值。
回顾既往研究,口服司美格鲁肽的心血管获益并非孤例,它与整个GLP-1RA类药物在T2DM患者中展现出的心血管保护作用一脉相承。然而,SOUL研究及其后续分析的独特之处在于,其验证了口服剂型在更为广泛的高危人群中的有效性与安全性,突破了注射剂型在临床应用中的部分限制。将这两项最新发现置于更广阔的背景下,我们可以看到一条清晰的循证路径:从确立疗效,到阐明对事件负担的深度影响,再到评估人群层面的公共卫生潜力。这些证据的累积,正推动着口服司美格鲁肽从一种单一的降糖药物,向着系统性的心血管代谢风险管理策略转变,为临床医生在T2DM患者中实现心血管残余风险管理提供了更具操作性的选择,也为未来CVD防治的公共卫生决策提供了重要的数据支撑。
参考文献
1. McGuire DK, et al. Oral Semaglutide and Cardiovascular Outcomes in High-Risk Type 2 Diabetes. N Engl J Med. 2025; 392(20): 2001-2012.
2. Nikolaus Marx, et al. Effect of Oral Semaglutide Versus Placebo on First and Total Mace in SOUL Trial Participants with T2D and ASCVD and/or CKD. Poster 1068-11. ACC.26, 2026.
3. Mustafa Al-Jarshawi, et al. Projected Reduction in Major Adverse Cardiovascular Events Among High-Risk U.S. Adults with Type 2 Diabetes Eligible for Oral Semaglutide: A SOUL Trial-Based Analysis Using NHANES (1988-2018) Cycles. Poster 1085-07. ACC.26, 2026. 2 comments
一项事后分析[2]深入探讨了口服司美格鲁肽对首次及总体主要心血管不良事件(MACE)的影响,为进一步揭示其在减轻心血管事件总体负担方面的潜在价值提供了新的证据;
另一项研究[3]则基于美国真实世界人群数据,评估了SOUL研究结论在人群层面的公共卫生意义,初步勾勒出该药物作为心血管代谢干预策略的广阔应用前景。
本文将对这两项研究进行梳理,以期为读者呈现SOUL研究的最新进展。
SOUL研究事后分析:口服司美格鲁肽显著降低首次及总体MACE风险
SOUL研究主要结果已证实,在9650例2型糖尿病(T2DM)合并动脉粥样硬化性心血管疾病(ASCVD)和/或慢性肾脏病(CKD)患者中,平均随访47.5个月后,与安慰剂相比,口服司美格鲁肽显著降低3点MACE(3-P MACE,包括非致死性心肌梗死、非致死性卒中或心血管死亡)风险达14%(HR 0.86,P=0.006)。由于个体在首次非致死性事件后发生后续心血管事件的风险较高,对总体事件(同时评估首次及后续事件)进行分析将有助于更全面地理解干预措施对疾病总体负担的影响。
基于此,研究者对SOUL研究进行了预设次要分析[2]。该分析采用原因别Cox比例风险模型和Ghosh-Lin模型,将非心血管死亡作为竞争风险,评估口服司美格鲁肽相较于安慰剂对首次及总体3-P MACE、4-P MACE(3-P MACE+因不稳定型心绞痛住院)及5-P MACE(4-P MACE+急性冠状动脉综合征血运重建)的影响。同时,研究评估了首次及第二次(后续)事件的发生数量,并对首次非致死性心肌梗死或非致死性卒中后最常见的后续3-P MACE或非心血管死亡事件进行了描述性分析。
分析结果显示:
与未发生事件的受试者相比,经历至少一次3-P MACE的受试者年龄更大、糖尿病病程更长、糖化血红蛋白(HbA1c)及高敏C反应蛋白(hsCRP)水平更高,且既往有心肌梗死或卒中病史的比例更高。
SOUL研究期间共记录了1474例3-P MACE、1645例4-P MACE和2202例5-P MACE,其中后续事件分别占各类型MACE总数的15.4%、17.0%和34.3%。
与安慰剂相比,口服司美格鲁肽显著降低了首次及总体3-P、4-P和5-P MACE的风险。其中,首次事件风险分别下降15%(HR 0.85,P=0.004)、14%(HR 0.86,P=0.007)和16%(HR 0.84,P=0.001);总体事件风险的均值比(MR)分别为0.86(P=0.011)、0.87(P=0.015)和0.83(P=0.002)(图1)。
与安慰剂相比,口服司美格鲁肽组发生首次及第二次MACE的受试者人数均更少(表1);在针对首次、后续及总体3-P MACE加非心血管死亡事件的分析中,口服司美格鲁肽组的事件数亦低于安慰剂组(图2)。

表1. 首次和第二次MACE的发生情况


图2. 按治疗组分组的首次、后续及总体3-P MACE加非心血管死亡事件

图3. 首次非致死性心肌梗死或非致死性卒中后的后续3-P MACE或非心血管死亡事件
综上,与安慰剂相比,口服司美格鲁肽显著降低了首次及总体3-P、4-P和5-P MACE风险。在考虑非心血管死亡时,口服司美格鲁肽组的首次及总体3-P MACE与非心血管死亡事件也显著减少。这些数据进一步补充了司美格鲁肽在降低心血管结局事件方面的既有证据,提示该药在减轻高危人群心血管疾病(CVD)患病率与死亡率的总体负担方面具有明确获益。研究结果为临床医生提供了重要信息,使其确信患者在心肌梗死或卒中后应继续使用口服司美格鲁肽治疗,因为该疗法可能有助于减少后续致死性或非致死性心血管事件的发生。
人群层面预测:
符合治疗条件的高危T2DM患者使用口服司美格鲁肽或可避免大量MACE发生
尽管SOUL研究已证实口服司美格鲁肽能够减少伴有T2DM的高危个体发生MACE的风险,但其在美国真实世界人群中的潜在影响尚不明确。为此,本研究[3]旨在通过以下两点评估SOUL研究在真实世界中的意义:①根据SOUL研究的纳入标准,估算美国符合口服司美格鲁肽治疗条件的成人数量;②预测若在该符合条件的人群中广泛使用口服司美格鲁肽,可减少的心血管事件数量。
该研究将SOUL研究的纳入标准应用于美国国家健康与营养调查(NHANES,1988~2018年)中的成人,以估算符合口服司美格鲁肽治疗条件的人数,并预测4.5年内心血管事件的预期减少数量。符合条件的参与者需满足:年龄≥50岁,患有T2DM,HbA1c 6.5%~10.0%,且已确诊心血管或肾脏疾病(包括冠状动脉疾病、脑血管疾病、症状性外周动脉疾病,或估算肾小球滤过率<60 ml/min/1.73m2的CKD)。主要结局指标为MACE(心血管死亡、非致死性心肌梗死和非致死性卒中的复合终点)。事件发生率及风险比(HR)源自SOUL研究,并应用于加权后的NHANES数据。
结果显示:
估计约有610万美国成人符合口服司美格鲁肽的纳入标准。
在未接受治疗的情况下,预计将发生847,598例MACE事件。
若接受口服司美格鲁肽治疗,预计该人群中MACE发生数量将降至728,934例,意味着可能预防118,664例事件,相对风险降低14%,需治疗人数(NNT)为55,其中包括28,430例心血管死亡(NNT=254)、83,489例非致死性心肌梗死(NNT=78)和24,521例非致死性卒中(NNT=284)(图4)。
心血管获益在不同性别、种族/民族以及临床亚组中保持一致。
若口服司美格鲁肽治疗覆盖率达到50%,并假设有15.5%的停药率(与SOUL研究中观察到的比例一致),则预计可预防59,332例MACE、14,215例心血管死亡、41,744例非致死性心肌梗死和12,260例非致死性卒中(图5)。

图4. 基于SOUL研究,口服司美格鲁肽对NHANES(1988~2018年)中符合条件的美国成人亚组心血管结局的影响(4.5年预测)

图5. 在符合条件的美国成人中提高口服司美格鲁肽使用率后,基于NHANES(1988~2018年)周期及SOUL研究结果所预防的潜在事件数(4.5年预测)
研究结论指出,在符合条件的美国T2DM成人中广泛使用口服司美格鲁肽,可显著减少心血管事件。这些发现支持其作为一种可推广的、人群层面的心血管代谢干预措施的潜力,并强调了需要采取系统层面的策略来提升药物的可及性和治疗覆盖率。
研究人员在讨论中表示,该发现具有三个关键的公共卫生意义。第一,研究结果突显了口服司美格鲁肽在减少高危T2DM成人MACE及缩小心血管健康差异方面具有显著的人群层面获益,支持其作为一种可推广的心血管代谢干预措施的潜力。第二,口服剂型为注射用GLP-1RA提供了一种替代选择,可能提高用药依从性,并能在常规临床实践中更早启动降低心血管风险的疗法。第三,随着符合条件的患病人群不断增长以及可预防事件负担日益加重,采取系统层面的策略(如扩大医保覆盖范围、开展临床医生教育以及实施有针对性的干预措施)对于实现口服司美格鲁肽的全部临床和经济价值至关重要。本研究分析显示,随着口服司美格鲁肽治疗覆盖率的提高,其可预防的心血管事件数量呈线性增长,这反映了治疗覆盖率与人群层面获益之间的比例关系。
结语
本届ACC年会发布的关于口服司美格鲁肽的两项最新研究,从不同维度深化了我们对SOUL研究临床价值的理解。第一项事后分析突破了以往仅关注首次事件的局限,首次系统证实口服司美格鲁肽能够显著降低总体MACE负担,这一发现对于CVD这类易复发的慢病管理尤为重要,意味着患者可能在长期治疗中获得持续累积的获益。第二项人群水平的研究则跨越了临床试验的界限,将循证证据延伸至公共卫生领域,量化了口服司美格鲁肽在真实世界中的潜在干预价值。
回顾既往研究,口服司美格鲁肽的心血管获益并非孤例,它与整个GLP-1RA类药物在T2DM患者中展现出的心血管保护作用一脉相承。然而,SOUL研究及其后续分析的独特之处在于,其验证了口服剂型在更为广泛的高危人群中的有效性与安全性,突破了注射剂型在临床应用中的部分限制。将这两项最新发现置于更广阔的背景下,我们可以看到一条清晰的循证路径:从确立疗效,到阐明对事件负担的深度影响,再到评估人群层面的公共卫生潜力。这些证据的累积,正推动着口服司美格鲁肽从一种单一的降糖药物,向着系统性的心血管代谢风险管理策略转变,为临床医生在T2DM患者中实现心血管残余风险管理提供了更具操作性的选择,也为未来CVD防治的公共卫生决策提供了重要的数据支撑。
参考文献
1. McGuire DK, et al. Oral Semaglutide and Cardiovascular Outcomes in High-Risk Type 2 Diabetes. N Engl J Med. 2025; 392(20): 2001-2012.
2. Nikolaus Marx, et al. Effect of Oral Semaglutide Versus Placebo on First and Total Mace in SOUL Trial Participants with T2D and ASCVD and/or CKD. Poster 1068-11. ACC.26, 2026.
3. Mustafa Al-Jarshawi, et al. Projected Reduction in Major Adverse Cardiovascular Events Among High-Risk U.S. Adults with Type 2 Diabetes Eligible for Oral Semaglutide: A SOUL Trial-Based Analysis Using NHANES (1988-2018) Cycles. Poster 1085-07. ACC.26, 2026. 2 comments
京公网安备 11010502033361号
发布留言